
Product description
-
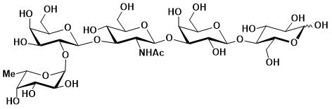
- Product name: LNFP-I Analytical Standard
- Compound name: Lacto-N-fucopentaose I
- Synonym names and other abbreviations: LNF-I
- IUPAC name: a-l-Fucopyranosyl-(1→2)-β-D-galactopyranosyl-(1→3)-2-(acetylamino)-2-deoxy-β-D-glucopyranosyl-(1→3)-β-D-galactopyranosyl-(1→4)-D-glucose
- Glycom product number: S-13F1
- CAS number: 7578-25-8
- Molecular formula: C32H55NO25
- Storage conditions: At room temperature (20-25 °C) in the original bottle. After use the bottle should be tightly closed and protected from excessive moisture and light
High quality Analytical Standards ensured through extensive analysis
dsm-firmenich HMO Analytical Standards have been extensively analyzed, to ensure that you have the complete product identity and documentation needed.
The analysis consists of: Quantitative NMR assay determination using traceable certified reference materials. High performance chromatographic techniques for the detection of related impurities. Water content determination by Karl-Fisher titration. Determination of residual solvent and/or inorganics (as needed).
All results are carefully evaluated to establish the titer of the standard, and the reliability of the analysis is tested via mass balance calculations. All these efforts will enable you to accurately measure the amounts of a specific HMO in your sample.
Contact us
For more information, please contact us on analytical-a.standards@dsm.com